日前,物理学院都有为院士科研组在石墨烯铁磁性研究方面取得新进展,其研究成果以论文形式发表在近期的《Scientific Reports》上( Sci. Rep. 3, 2566 ( 2013) )。
由于其弱的自旋轨道耦合和很长的自旋相干长度,使得石墨烯具有在自旋电子学器件中的巨大潜在应用。然而,目前报道的石墨烯本征磁性研究结果多为居里型顺磁性,局域磁矩间没有耦合,这极大地限制了石墨烯在自旋电子学方面的应用。通过对还原的氧化石墨烯进行氮掺杂,该科研组首先实验上证实了理论计算所预言的氮掺杂能够在石墨烯中引入局域磁矩【Carbon 60, 538 (2013)】,但所得样品由于较低的掺杂量导致局域自旋浓度较低,局域自旋之间没有发生磁耦合。因此,自旋间能否发生铁磁耦合,如何使得石墨烯中引入的局域自旋间发生铁磁性耦合?其机理又是什么?这些都是重要的问题。显然,解决这些问题,并在实验上获得高浓度、铁磁性耦合的局域磁矩,进而获得高磁、铁磁性的石墨烯,是实现其在自旋电子学器件中实际应用的关键问题,也是最近磁学界的热点研究问题之一。
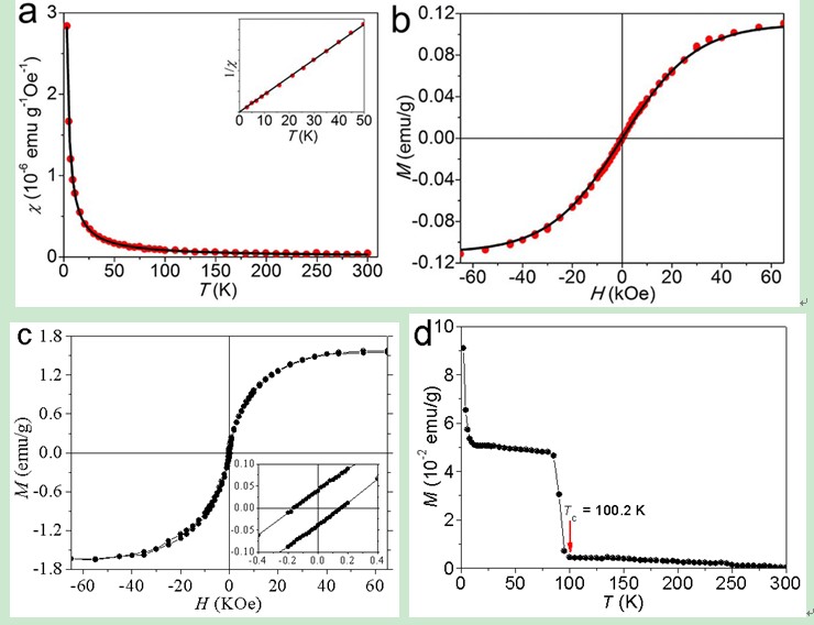
刘圆博士研究生在汤怒江、都有为老师的指导下,发现:没有掺杂的缺陷型石墨烯即使在
2 K的温度下也没有观察到任何的磁有序,变现为微弱的纯顺磁性,磁化强度仅约为0.1emu/g【如图1(a)所示】,且低温的x-T曲线很好地符合居里定律
x=C/T【如图
1(b)所示】,为典型的纯顺磁性。通过对氧化石墨烯直接进行氮掺杂,能够获得氮含量8.80 at.%的氮掺杂石墨烯。而高浓度的氮掺杂量引入了高浓度的局域自旋,使得磁矩增强高达1.66 emu/g【如图
1(c)所示】。更有趣的是:
2 K下的M-H曲线清楚地表明具有磁滞(具有明显的矫顽力和剩磁)【如图
1(c)所示】,表明样品在2 K下具有铁磁性。进一步通过低温下的M-
T曲线发现,样品具有高于液氮温度的铁磁性(居里点Tc=100.2 K)。在局域自旋耦合方面进行了探讨。一般认为石墨烯中局域自旋通过
pi电子为媒介的RKKY机制进行磁耦合。但科研组研究发现,氮掺杂石墨烯为半导体性而不是金属性【Appl. Phys. Lett.
2012,
100, 233112;Carbon 61, 436 (2013)】,显然局域自旋间不符合通常人们所认为的RKKY磁耦合机制。最后,科研组
用束缚的磁极化子模型进行了初步的理论解释,认为石墨烯中掺杂的氮能够亲和电子,局域自旋间通过氮亲和的电子为媒介发生了磁耦合,进而使得局域自旋间发生了铁磁有序。

该工作提供了一个在石墨烯中引入高浓度局域自旋、进而使得局域自旋之间发生强的铁磁性耦合的有效途径,并提供了获得高磁、铁磁性石墨烯的有效方法。这项工作也推动了石墨烯在自旋电子学器件中的应用。该工作得到了物理学院理论组万贤纲教授的帮助。(汤怒江)