物理学院王慧田-汪喜林研究组在量子干涉研究中取得重要进展。研究组首次实现偏振和轨道角动量16个完全超纠缠Bell态的双光子干涉,且在此过程中通过引入新的自由度,将单一自由度中粒子交换后的整体位相,转换为双自由度量子态的内部位相,实现了粒子交换对称和反对称位相的直接测量,该成果为量子干涉更广泛的应用奠定了坚实基础。
双光子Hong-Ou-Mandel (HOM)干涉是一种无经典对应的量子效应。由于单一HOM干涉实验便可同时揭示波粒二象性和粒子全同性,在基础研究领域,HOM激起了广泛的研究兴趣,被推广至除光子外的其它粒子或者准粒子体系,包括原子、表面等离激元、声子等。全同玻色子在HOM干涉中出现聚束效应,相反地,全同费米子的HOM干涉产生反聚束效应。在应用研究领域,HOM干涉已经成为现代量子技术的核心,不仅被广泛用于刻画光子的全同性,而且是构建光子受控非门及各种多粒子纠缠态的重要途径。同时,HOM干涉还是Bell态测量的基础,Bell态测量在诸如量子隐形传态、纠缠交换和量子网络等许多重要的量子协议中发挥着关键作用。因此,HOM干涉已成为量子光学和量子信息研究中的一个重要课题。然而,现有的HOM干涉主要局限于单一自由度,在多自由度中实现HOM干涉仍然是一个挑战。
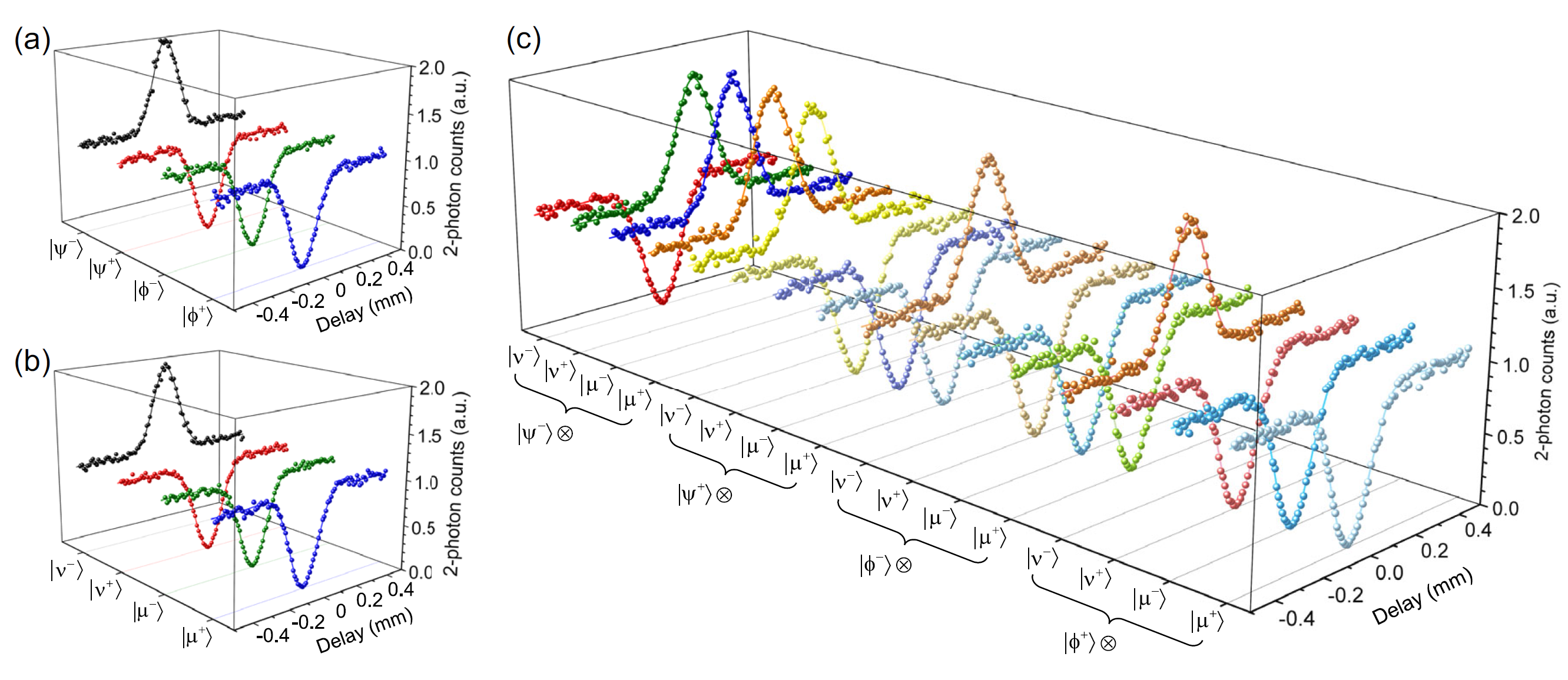
研究组在已制备超纠缠Bell态及其量子幻方游戏研究[Phys. Rev. Lett. 129, 050402 (2022)]的基础上,进一步发展了高效轨道角动量调控技术,灵活制备出偏振和轨道角动量完全16个超纠缠Bell态,系统地开展了多自由度双光子HOM干涉研究。如图1所示,在偏振或轨道角动量单一自由度的4个Bell态中,3个是具有交换对称性的对称态,即玻色态,双光子干涉中产生聚束效应导致干涉曲线上谷的出现;另1个量子态是具有交换反对称性的反对称态,即费米态,双光子干涉中产生反聚束效应使得干涉曲线上出现峰。对于偏振和轨道角动量双自由度而言,共有16个超纠缠Bell态,其中有10个对称态,包括9个玻色-玻色态和1个费米-费米态;及6个反对称态,包括3个玻色-费米态和3个费米-玻色态。实验上,如图2所示,对于单一自由度的4个Bell态,在干涉曲线中测到了1个峰和3个谷,对于双自由度16个超纠缠Bell态,在干涉曲线中观察到10个谷和6个峰,恰如理论预期。

图1. 双光子干涉聚束和反聚束现象。(a) 4个单自由度Bell态中有3个对称态和1个反对称态;(b) 16个偏振和轨道角动量超纠缠Bell态有10个对称态和6个反对称态。

图2. 双光子量子干涉实验结果。(a) 4个偏振Bell态;(b) 4个轨道角动量Bell态;(c) 16个偏振和轨道角动量超纠缠Bell态。
更进一步,研究发现,这种多自由度双光子干涉可用于测量粒子交换位相。对于双粒子单一自由度而言,当量子态具有交换对称性,若双粒子处于3个对称Bell态或者它们的叠加态时,交换位相为0;当量子态具有反对称性,若双粒子处于反对称Bell态时,交换位相则为π。由于双粒子的交换位相是单一自由度量子态的整体位相,因此,无法直接测量。研究人员独辟蹊径,通过引入新的自由度以扩展双粒子的Hilbert空间,于是,单一自由度量子态的整体位相转换为双自由度量子态的内部位相,由不可测量变成可直接读出。基本原理如图3所示,为了提取轨道角动量自由度的粒子交换位相,引入偏振自由度;使双粒子处于正交偏振HH和VV的叠加态,其中HH分量作为参考分量,不发生粒子交换,而VV分量通过偏振分束器执行粒子交换;干涉合束之后,轨道角动量自由度的粒子交换位相转换为偏振自由度HH和VV之间的内部相对位相,便可读出。实验上,测得的轨道角动量自由度中3个玻色态的对称交换相为0.012 ± 0.002、0.025 ± 0.002和0.027 ± 0.002弧度,费米态的反对称交换相为0.991π ± 0.002弧度,恰如理论预期。

图3. 直接测量轨道角动量粒子交换位相原理图。借助于超纠缠Bell态双光子干涉,通过引入偏振作为辅助自由度将轨道角动量双光子交换位相转换为偏振的内部位相。
该工作以"Hong-Ou-Mandel Interference between Two Hyperentangled Photons Enables Observation of Symmetric and Antisymmetric Particle Exchange Phases"为题发表在美国物理学会期刊《Physical Review Letter》上[Phys. Rev. Lett. 129, 263602 (2022)]。世界杯投注平台物理学院博士研究生刘志峰为论文的第一作者,王慧田和汪喜林教授为共同通讯作者。上述研究工作得到了固体微结构物理国家重点实验室、南京微结构协同创新中心和合肥国家实验室的支持,得到了国家重点研发计划、国家自然科学基金、江苏省"双创人才"和广东省重点领域研发计划项目等的资助。
论文及媒体报道链接:
利用超纠缠Bell态实现量子幻方游戏论文
https://journals.aps.org/prl/abstract/10.1103/PhysRevLett.129.050402
《Science》专题报道
https://www.science.org/content/article/reality-doesn-t-exist-until-you-measure-it-quantum-parlor-trick-confirms
《Scientific American》专题报道
https://www.scientificamerican.com/article/researchers-use-quantum-telepathy-to-win-an-impossible-game/
首次实现16个超纠缠Bell态的双光子干涉论文
https://journals.aps.org/prl/abstract/10.1103/PhysRevLett.129.263602