近日,世界杯投注平台现代工程与应用科学学院袁洪涛教授团队与合作者们,利用电场调控技术在二维范德华巡游铁磁体Fe5GeTe2的磁性电子器件中,实现了材料易磁化轴朝向的电场连续操控。
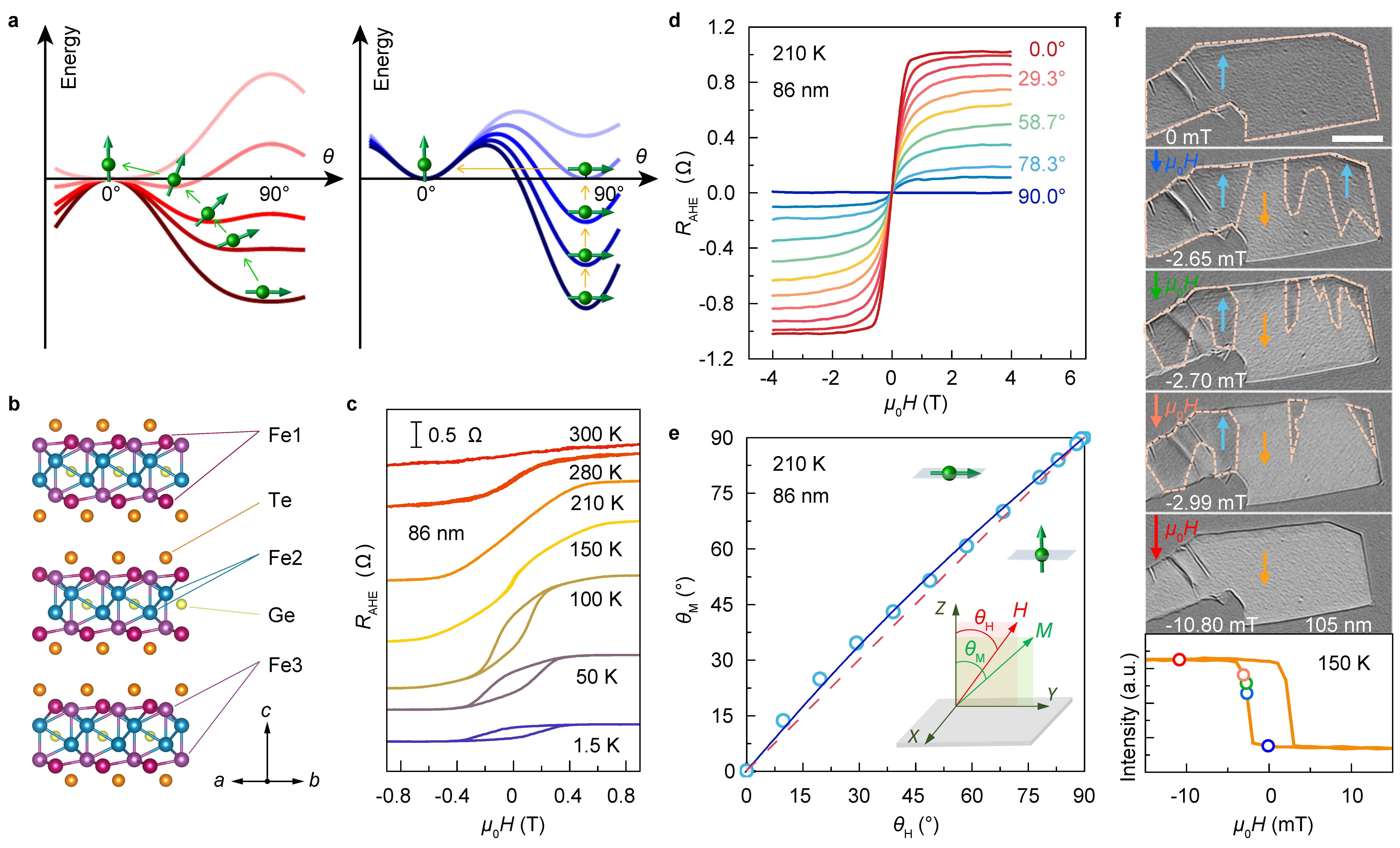
操控铁磁材料的易磁化轴是自旋电子学中磁性开关和存储器件应用的关键问题之一。磁性材料可以作为信息存储和处理的介质,操控磁性材料的磁化翻转可以实现信息写入的目的,因而被广泛应用在磁性硬盘中。由于电场具有良好的局域特性,所以利用电学方法操控磁性材料的磁化方向,不仅可以更快地实现信息的写入,还可以极大地提升信息单元的密度,制造具有速度快、低功耗等优点的磁性开关和大容量的存储器件。在众多铁磁材料中,巡游铁磁体是备受瞩目的信息存储和处理的潜在介质,但对其磁性进行精准调控却有着很大的困难:一方面,由于巡游铁磁材料的强金属性,传统的电场调控技术会受到托马斯–费米屏蔽效应的限制,导致其难以应用到巡游铁磁体中。因此,对巡游铁磁体的磁性进行电场调控具有很高技术挑战性。另一方面,人们在研究中往往只是定性地描述铁磁材料的易磁化轴,比如,通过比较不同方向外加磁场下材料的矫顽场大小,定性地得到易磁化轴处于面内或面外方向(图1)。然而,如何定量地精准控制铁磁材料的易磁化轴则是一项具有挑战性的科学难题。
众所周知,铁磁材料的易磁化轴是由系统的磁晶各向异性能,退磁能,表面各向异性能等多种因素共同决定的。在不同铁磁材料系统中,这些能量共同作用的结果就可能会使得总的自由能相对于磁化方向有一个或多个极小值:对有些材料而言,总自由能相对磁化方向只有一个极小值,且这个对应自由能极小值的磁化方向可以随外场调控而连续变化;但在其它的一些材料中总的自由能相对于磁化方向也有可能存在两个局域极小值,这意味着在适当的外场调控下,对应自由能局域极小值的两个不同磁化方向之间可以发生跃变。因此,外场调控下铁磁材料的易磁化轴转变可以存在两种方式:自旋反转(spin flip)和自旋转向(spin flop)。前者是易磁化轴在面内和面外方向之间阶跃型地翻转,而后者是易磁化轴在面内和面外方向之间连续地转向。这两种不同的易磁化轴转变,与材料中磁性原子周围的局域环境密切相关,具有深刻的物理内涵。具体而言,铁磁材料的易磁化轴会受到磁位点周围环境的影响,比如材料内部的磁性原子的结构对称性、相邻磁性原子磁矩间的磁交换相互作用、费米能级附近的电子态密度等等。尤其是在巡游铁磁材料中,由于巡游电子和局域原子磁矩之间的复杂相互作用,局域磁矩会被屏蔽,从而实现铁磁性的调制。人们预期,外部电场调控巡游铁磁材料在费米能级附近的电子态密度,可以使局域原子磁矩的外部环境发生变化,从而改变电子在磁性原子电子轨道的占据状态,能够最终导致铁磁材料中易磁化轴产生变化,甚至引起易磁化轴在面内和面外方向之间的翻转。如果铁磁材料的易磁化轴可以连续转向,就能够被用来构建诸如磁性隧道结、自旋轨道转矩器件、自旋转移转矩器件等多功能器件。因此,实现巡游铁磁材料中易磁化轴的电场调控、探明易磁化轴的转变方式、深入理解其中的物理机制,对于磁性开关器件和自旋电子学应用至关重要。

图1. 不同易磁化轴朝向对应的反常霍尔效应的磁滞回线的形状。可以看到,当沿样品面外方向施加磁场,样品的易磁化轴处于面内或者面外时,磁滞回线的形状会表现明显差异。利用二阶Stoner–Wohlfarth模型,材料的磁各向异性可以用K1和K2两个系数表达,其中系数K1描述面内和面外磁化的能量差异,系数K2描述面内和面外磁化转向之间的能垒高度。因此这两个系数共同决定了材料的能量随磁化方向的变化情形,并可以根据总能量的极小值确定出易磁化轴的朝向。使用极图展示的形式可以定量地表现出K1和K2的数值与定性的易磁化轴方向之间的对应关系,可以看到在K1–K2极图中,材料的易磁化轴朝向被划分为三个区域,蓝色区域表示面外易磁化情形,黄色区域面内易磁化情形,而位于左上角的绿色区域则是面内和面外的过渡区域,对应易磁化轴倾斜的朝向。因此,当材料的易磁化轴被调控时,从面外转到面内的路径有两种可能:一种是从原点的上方经由自旋转向(spin flop)的路径,易磁化轴方向从面内面外相互连续地翻转,另一种则是从原点的下方经由自旋反转(spin flip)的路径,易磁化轴方向在面内面外之间阶跃式地跳转。
针对以上科学问题与技术挑战,世界杯投注平台袁洪涛教授课题组与合作者们,利用电场调控技术在二维范德华巡游铁磁体Fe5GeTe2构筑的磁性电子器件中,实现了材料易磁化轴朝向的电场连续操控。在该研究工作中,作者们通过反常霍尔效应和磁光克尔效应的实验测量,并结合Stoner–Wohlfarth模型的定量理论分析,发现Fe5GeTe2的磁各向异性能表现出强烈的温度和样品厚度依赖性。作者们还利用锂离子插层技术,通过施加外加电场改变费米能级附近的电子态密度和巡游电子的屏蔽效应,实现了对Fe5GeTe2的磁性调控和易磁化轴的连续可控转向,使之从初始的面外方向转变到倾斜方向、并最终转变到面内方向。值得注意的是,Fe5GeTe2的磁各向异性能不仅远超其它3d电子磁性材料,甚至接近典型的4f电子强磁材料(比如钕铁硼强磁体等),而且还可以被外加电场大范围调制(2.11至−0.38 MJ/m3)。在Fe5GeTe2中所发现的磁各向异性及其大范围电场可调性,为深入理解电控磁性和易磁化轴转向的物理机制提供了范例,同时也为磁性开关器件和自旋电子学器件的应用提供了物质基础。
磁性材料中自旋态的自由能极小值的演化行为(图2a)决定了其易磁化轴的两种转变方式:以spin-flop路径进行的连续转向转变,和以spin-flip路径进行的阶跃式翻转转变。为了确认范德华铁磁材料Fe5GeTe2中的易磁化轴转变行为,作者们首先研究了Fe5GeTe2的磁各向异性。以厚度为86 nm的Fe5GeTe2作为厚层样品代表,其反常霍尔电阻的磁滞回线在150 K上下具有明显不同的形状,这可能与磁各向异性的变化直接相关。由于反常霍尔效应正比于材料磁化的面外分量,那么不同外磁场方向下的反常霍尔效应大小就能反映出样品在不同外磁场方向下的磁化方向,进而通过不同外磁场方向下和面外磁场方向下的饱和反常霍尔电阻比值就可以推算出磁化矢量M对应的方向。最后再根据磁化方向随外加磁场方向的演化关系就可以拟合得出样品的磁各向异性能的大小,从而定量地描述样品对应的易磁化轴方向。根据实验数据,作者们发现在210 K下厚层Fe5GeTe2是面内易磁化的,这一点也被使用磁光克尔效应成像系统得到的磁畴演化规律及磁滞回线形状所证实。

图2. 自旋反转 (spin flip)和自旋转向(spin flop)的示意图,以及层状铁磁材料Fe5GeTe2中的反常霍尔效应和磁畴演化。(a)磁性材料中易磁化轴的两种转变方式与去自旋态的自由能极小值的演化对应关系。(b)晶体结构示意图。(c)变温反常霍尔效应。(d)转角反常霍尔效应。(e)磁化方向随外加磁场方向的演化关系。(f)不同面内磁场下的磁畴成像及磁滞回线。
为了真正实现磁性材料的应用化,很重要的一点就是材料的磁性和易磁化轴方向要可调可控。因此,作者们采用锂离子插层技术对Fe5GeTe2引入大量的电子掺杂,尝试改变薄层Fe5GeTe2中单一的面外易磁化轴的特性。最终作者们成功地将其易磁化轴由面外方向逐步调控至面内方向。这一结论被多重实验数据所支持和验证,包括:霍尔系数和反常霍尔效应饱和电阻随栅压的演化行为、反常霍尔效应的磁滞回线形状随栅压的演化行为、磁各向异性系数随栅压的演化行为、厚度和栅压对易磁化轴温度依赖行为的对比分析。为了突出Fe5GeTe2磁性调制过程及材料本身磁性质的特点,作者们在文章最后对电场调控下Fe5GeTe2磁各向异性的转变过程作了定量分析和比较。作者们利用二阶的Stoner–Wohlfarth分析得到了不同栅压下Fe5GeTe2的磁各向异性系数K1和K2,并且使用极图对结果进行展示,从而定量、直观地表现出K1和K2的数值与定性的易磁化轴方向之间的对应关系。最终发现,随着栅压的增加,薄层Fe5GeTe2的易磁化轴是沿着自旋转向(spin flop)路径被连续调控的,即从初始的面外方向被调控至逐渐倾斜状态、最后达到完全的面内方向。此外,作者们还将Fe5GeTe2的磁各向异性能的厚度依赖性与大量其它铁磁材料做了统计对比分析,发现Fe5GeTe2是一种非常特殊的铁磁材料,不仅具有依赖样品厚度的易磁化轴特性,而且还拥有巨大固有磁各向异性能,且可在2.11至−0.38 MJ/m3的大范围内进行调制。层状铁磁材料Fe5GeTe2中如此大的磁各向异性和强调控能力为自旋电子学器件的应用提供了新的材料平台。

图3. 电场调控的Fe5GeTe2的易磁化轴、以及其磁各向异性系数与其它磁性材料的对比。(a)一阶和二阶磁各向异性系数K1和K2,即易磁化轴方向随栅压连续的调控。通过施加外加电场,对Fe5GeTe2的磁性进行调控,结合对其磁各向异性能的定量解析,最终实现易磁化轴的连续可控转向,使之从初始的面外方向转变到倾斜方向、并最终转变到面内方向。(b)不同磁性材料的磁各向异性系数K1的厚度依赖特性,其中红色为23 nm厚的Fe5GeTe2栅压调控的结果。值得注意的是,Fe5GeTe2的磁各向异性能不仅远超其它3d电子磁性材料,甚至接近典型的4f电子强磁材料(比如钕铁硼强磁体等),而且还可以被大范围调制,为深入理解电控磁性和易磁化轴转向的物理机制提供了范例,同时也为磁性开关器件和自旋电子学器件的应用提供了物质基础。
相关研究工作以"Continuous manipulation of magnetic anisotropy in a van der Waals ferromagnet via electrical gating"为题发表在《Nature Electronics》(DOI: 10.1038/s41928-022-00882-z)上。世界杯投注平台现代工程与应用科学学院博士生唐明、研究员黄俊伟和博士后秦峰为论文的共同第一作者,世界杯投注平台现代工程与应用科学学院袁洪涛教授、日本东京大学Toshiya Ideue副教授和燕山大学王霖教授为论文共同通讯作者。该研究工作还得到日本东京大学Yoshihiro Iwasa教授团队、燕山大学田永君院士团队和柳忠元教授团队,世界杯投注平台物理学院张海军教授团队和万贤刚教授团队,以及北京航空航天大学汤沛哲教授团队的大力支持和帮助。该研究得到了国家自然科学基金委"中日韩前瞻计划"、科技部重点研发计划、世界杯投注平台固体微结构物理国家重点实验室、世界杯投注平台人工微结构科学与技术协同创新中心、世界杯投注平台中央高校基本科研业务费、江苏省功能材料设计原理与应用技术重点实验室、江苏省"双创计划"、江苏省优势学科等的资助与支持。