近日,我校物理学院、固体微结构物理国家重点实验室、人工微结构科学与技术协同创新中心陈增兵-尹华磊课题组与中科院物理所等单位合作提出了四相位测量设备无关量子密钥分发协议并进行了原理性实验演示,该协议在保证了不完美光源的实际安全性的同时解决所有探测器端的漏洞。该工作将抽象的光源不完美特性转化为可在实验中量化的各种偏差参数,成功实现了在20 dB的信道传输损耗下0.25 kbps的密钥率;在10 dB(约50千米光纤)的信道传输损耗下实现91 kbps的安全密钥率,可满足语音通话等一次一密加密需求。同其他考虑了光源不完美的测量设备无关类量子密钥分发协议相比,该研究在安全密钥率和传输距离方面都有了显著提高,展现了该协议巨大的应用潜力。
与经典密钥分发相比,量子密钥分发能够使得两个远距离用户共享完全随机的安全密钥。量子密钥分发结合一次一密的对称加密方法,能够为信息交换提供理论上的理想保密性。在量子密钥分发的理论安全性证明中需要对使用的仪器进行刻画而引入理想化假设。然而,由于本身性能缺陷或者窃听者的干扰,实际的仪器往往无法满足理想化假设的要求。这些偏差导致了实际实施过程中,系统无法避免地泄露信息,从而造成严重的安全性隐患。为了解决这一问题,器件无关量子密钥分发和测量设备无关量子密钥分发协议被相继提出。器件无关协议不需要对仪器采用任何信任假设,通过贝尔不等式的违背和终端节点信息隔离假设便可以保证其现实安全性。最近,中外学者首次实现了器件无关量子密钥分发的原理性验证实验,相关工作分别发表在《自然》与《物理评论快报》上。然而,器件无关协议存在实验要求苛刻、安全密钥率低、传输距离极短等缺点,无法进行长距离实际应用。测量设备无关类协议通过引入一个不可信的中间节点来进行干涉测量,成功关闭了实际系统中的所有探测端漏洞。相比于器件无关协议,测量设备无关类协议不需要对干涉终端节点进行任何假设,其密钥产生速率高、安全传输距离远。例如,当前测量设备无关类协议的世界纪录是尹华磊等人实现的404公里双光子干涉测量设备无关量子密钥分发【Phys. Rev. Lett. 117, 190501 (2016)】和王双等人实现的833公里单光子干涉双场量子密钥分发【Nature Photon. 16, 154 (2022)】。测量设备无关类协议被量子密码学界认为是兼具现实安全性和高效性的最佳选择。因此,如何解决测量设备无关类协议光源部分的不完美是最重要的科学问题之一。
对于量子密钥分发的光源而言,现有技术下的源不完美主要包括四个方面:量子态制备缺陷、由模式依赖引起的边信道攻击、特洛伊木马攻击和脉冲关联。为了解决这几方面的源不完美对系统产生的安全性漏洞,本工作采用国际上最新提出的参考技术安全性证明方法 【Sci. Adv. 6, eaaz4487 (2020)】,对上述几种源不完美性对应的参数进行了完全表征,并证明了一个四相位测量设备无关类量子密钥分发协议的安全性。本工作还在实验中测量了相应的源不完美性的各种表征参数,提供了该协议针对相干攻击下的有限密钥分析。

图一:四相位测量设备无关协议示意图
此外,研究组以一个原理性的验证实验来展示了协议的可行性。实验中使用含有Sagnac干涉仪的即插即用(plug-and-play)系统来自动稳定信道中的相位涨落,同时使用保偏光纤来稳定光信号的偏振。

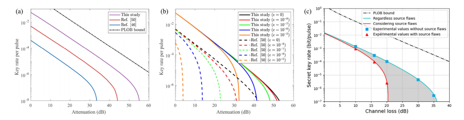
图二:模拟结果对比与实验结果图。(a)无边信道攻击模拟结果对比图;(b)有边信道攻击模拟结果对比图;(c)实验结果图
模拟结果如图二(a)和(b)所示,在无边信道攻击和有边信道攻击情况下,该协议相较之前协议,码率都有指数量级的提升。实验结果如图二(c)所示,考虑源不完美情况下,在10 dB(约50千米光纤)的信道传输损耗下,协议能够实现91 kbps的安全密钥率(满足语音通话等一次一密加密需求);在20 dB的信道传输损耗下,协议能够实现253bps的安全密钥率。在源完美情况下,则可在超过35 dB衰减的信道中成码。与其他允许源不完美的协议相比,该研究在安全密钥率和传输距离方面都有了显著提高。总的来说,该工作首次实验实现了基于参考技术表征源不完美性参数的量子密钥分发协议,证明了该方法的实际可行性。即使同时考虑光源不完美和抵御所有探测器端攻击,四相位测量设备无关量子密钥分发也可以在城域范围内迈向实际应用,显示出了其应用于实际量子通信网络部署的潜力。未来的工作还需要在实验中使用远距离锁频锁相技术解决Sagnac环的缺点,同时需要更细致地表征各种偏差参数。

相关研究成果以"Experimental measurement-device-independent type quantum key distribution with flawed and correlated sources"为题于2022年11月15日发表在Science Bulletin期刊【Science Bulletin 67, 2167 (2022)】上。论文共同第一作者为世界杯投注平台物理学院硕士研究生顾杰和博士研究生曹啸宇,通讯作者为世界杯投注平台尹华磊副教授和陈增兵教授。该研究工作得到江苏省自然科学基金、中央高校基本科研业务费、南京江北新区重点研发计划等的支持。
论文连接:https://www.sciencedirect.com/science/article/pii/S2095927322004571?via%3Dihub