
强关联体系中的巨大电子库伦相互作用能够诱导产生丰富奇异的量子多体物态,包括非常规超导、莫特绝缘体、维格纳晶体态、非费米液体、量子自旋液体等。对这些关联物态的探索和深入理解,是过去几十年推动凝聚态物理领域发展的重要推力之一。其中,在关联诱导的量子相变附近,多种能量尺度可比拟,并且量子涨落显著,为发现新物态和新物理提供了理想平台。特别是当体系涉及多个物理自由度时,不同序参量的量子涨落竞争加剧,可能导致超越朗道相变范式的新型量子临界相和临界行为。
为了抓住关联作用中的核心物理,物理学家们从多体体系中抽象出若干模型,其中最著名的就是哈伯德模型(Hubbard model)以及考虑长程库伦作用时的扩展哈伯德模型(extended Hubbard model)。虽然这些模型已经是对实际物理系统的简化,但是在理论上求解这些强关联模型仍然存在巨大的挑战。尤其是当具有多自由度的强关联电子体系处于量子临界区域附近时,巨大的序参量量子涨落和多种可比拟的能量尺度,使得问题异常难以求解。近年来,各类量子模拟器的兴起,为解决这类问题提供了新的实验手段和平台。特别是,如果能够在单一体系中通过原位调控参量的方式,实现不同类型的量子相变和量子临界行为,并研究它们之间的可控演化,将为强关联物理领域的发展提供前所未有的机会。
面对上述机遇与挑战,我校缪峰教授合作团队通过"原子乐高"的方式,搭建了基于转角石墨烯莫尔超晶格体系的SU(4)同位旋-扩展哈伯德模型量子模拟器,首次观测到钉扎在莫尔超晶格上的一种特殊的电子晶体态:广义同位旋维格纳晶体(Generalized isospin Wigner crystal)。在实验中,研究团队通过垂直电场对电子关联强度的原位调节作用,实现了该电子晶体的量子融化,并首次观测到"量子两步临界性"(quantum two-stage criticality)。基于该体系中解耦的能谷自由度和自旋自由度,研究团队进一步通过对水平磁场的原位调节,实现了该扩展哈伯德模型量子模拟器的内禀自由度从SU(4)到SU(2)的连续演化,并在高磁场下首次观测到"量子赝临界性"(quantum pseudo criticality)。相关研究成果以"Tunable quantum criticalities in an isospin extended Hubbard model simulator"(同位旋扩展哈伯德模型模拟器中的可调量子临界性)为题于2022年9月14日在线发表在国际顶级期刊《Nature》上(文章链接:www.nature.com/articles/s41586-022-05106-0)。
我校物理学院缪峰教授与南京理工大学理学院程斌教授为论文的共同通讯作者,世界杯投注平台物理学院李乔博士为论文的第一作者。世界杯投注平台物理学院梁世军副教授、博士生陈墨雨、谢永勤、王鹏飞、刘增霖与硕士生陈繁强等共同参与了该工作的实验研究。该工作的主要理论合作者包括上海科技大学刘健鹏教授和硕士生解博,以及世界杯投注平台王强华教授、王达副教授与香港大学王晨杰助理教授。该工作得到了国家自然科学基金重点/面上项目、国家优秀青年科学基金、中科院先导B等项目的资助,以及固体微结构物理国家重点实验室、人工微结构科学与技术协同创新中心等支持。
动画:"原子乐高"量子模拟器中实现的量子相变和量子临界行为,及其可控演化。
在这项工作中,合作团队设计并制备了一种新型的“原子乐高”量子模拟器:基于手性堆叠的转角双层-双层石墨烯(chiral-stacked twisted double bilayer graphene)(如图1a-c所示,转角0.75°)。该体系具有多条较平的能带,带宽小于10meV,并且随着电场的施加形成陈数为零的孤立平带(如图1f所示),并且拥有简并的能谷-自旋自由度,是SU(4)同位旋扩展哈伯德模型的理想固态量子模拟器。在实验中,合作团队观察到出现在填充数为
处的新奇绝缘态电阻峰,对应第二个莫尔能带中每3个超晶格上占据1个空穴(如图1e和2a-b所示)。这些绝缘态具有显著的非线性电流-电压曲线,同时电阻随着温度的变化关系满足Efros-Shklovskii型的变程跃迁模型,并且电阻随着水平磁场施加急剧增大20倍并且在高磁场下饱和(如图2c-g所示)。上述实验结果说明该关联绝缘态在零磁场和高水平磁场下分别为自旋非极化和自旋极化的维格纳晶体。
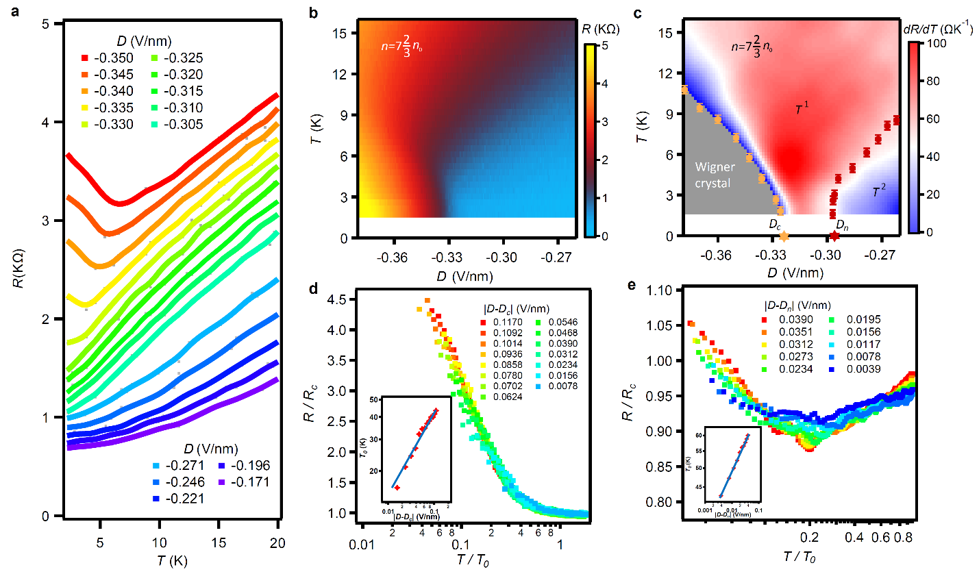
合作团队发现,在该量子模拟器中,通过改变垂直电场可以连续精准地调控体系中的电子关联强度,从而实现了维格纳晶体的量子融化。与常规的量子相变不同,这类量子融化具有两个不同的量子临界点,并且这两个量子临界点所对应的量子标度行为展现出具有不同临界指数(如图3所示)。同时,两个临界点之间的量子临界区域表现为奇异金属行为,且可以持续到最低温,表明临界中间态的存在。随着水平磁场的施加,维格纳晶体区域变大,量子临界区域变小,两个量子临界点逐渐靠近并交换位置,形成了一个费米液体和维格纳晶体的重叠区域。该重叠区域从最低温一直延续到T*≈5.6K,展现出电阻不随温度变化的特性,说明此时关联长度是不随温度变化的常量,这导致量子临界标度行为的失效。当温度升高至5.6K以上时,体系中的奇异金属行为和量子临界标度性恢复,从而展现出一种新型的量子临界行为:量子赝临界性(如图4所示)。
该“原子乐高”量子模拟器成功模拟了从高对称SU(4)强关联电子系统中具有临界中间相的量子相变到低对称SU(2)电子系统中弱一阶量子相变的原位演化,不仅让模拟实现和深入理解具有可调内禀自由度的强关联电子系统成为可能,也为未来开发可高密度集成、高度可调和易于读取的固体量子模拟器迈出重要一步。

图1:手性堆叠0.75°转角双层-双层石墨烯。(a-c) 莫尔超晶格和电子输运器件示意图。(d) 在1.5K温度、200mT垂直磁场和零垂直电场条件下的纵向电阻和霍尔电阻对载流子浓度的依赖关系。(e)电阻随载流子浓度和垂直电场的mapping图。(f)在不同垂直电场下的电子能带结构和陈数计算结果。

图2:维格纳晶体的实验证据。(a) 电阻随载流子浓度和垂直电场的小范围mapping图。(b)不同电场下的电阻随载流子浓度变化关系图,清晰显示在 和 出现的电阻峰。(c-d)在不同的垂直电场和温度下,微分电阻随电流的变化关系。(e)不同磁场下电阻随温度的变化关系。(f-g)电阻随填充数和水平/垂直磁场的mapping图。

图3:零磁场下的量子两步临界性。(a)不同电场下的电阻随温度变化曲线。(b-c)电阻R以及dR/dT随电场和温度变化的mapping图。(d-e)绝缘区域和金属区域的临界标度分析,展示出不同的量子临界点和临界指数。

图4:强水平磁场下的量子赝临界性。(a) 不同电场下的电阻随温度变化曲线,虚线方框内电阻不随温度变化。(b)12特斯拉水平磁场下dR/dT随电场和温度变化的mapping图。(c)选取温度在5.6K之上以及全温度范围时,成功和失败的量子临界标度行为。