共价有机框架(covalent organic frameworks, COFs)是一类新兴的结晶多孔聚合物材料,具有低密度,高稳定性,结构规整且可调以及比表面积大等优点,在吸附分离,异相催化,传感器,储能材料以及药物运载等领域均具有广阔的应用前景。近年来,世界杯投注平台化学化工学院袭锴课题组致力于新型功能化COFs的设计合成及应用,包括设计合成一系列水分散性聚合物– COFs纳米复合材料,首次实现了COFs载药体系的体内递送(Nat. Commun. 2018, 9, 2785);开发一种高效无催化法合成了高结晶性氟功能化COFs,并将其用于客体选择性吸附(J. Mater. Chem. A, 2019, 7, 18959-18970);基于亚化学计量法,运用[4+3]策略合成了一系列具有复杂拓扑结构的高光活性二维COFs,并将其应用在高效异相光催化(Sci. China Chem., 2020, 63, 707-714.)和超灵敏光电传感器(Adv. Mater., 2020, 32(9), 1907242.)上。
后合成修饰法(post-synthetic modification)是制备COFs的重要手段。目前,主流的后合成修饰COFs的方法基于点击反应,包括CuAAC反应,巯基-烯反应以及活性酯取代反应等。然而,这些反应的商用化单体较少,单体可选择范围不广,大大限制了它们的实际应用范围。Suzuki-Miyaura 反应是一类应用非常广泛的碳碳偶联反应,它的发现者铃木章教授也因此获得了2010年的诺贝尔化学奖。Suzuki-Miyaura 反应具有条件温和,官能团耐受度高,操作简便,前体的稳定性好等特点,因此被广泛应用到了合成高分子和天然高分子的功能化中。更重要的是,经过多年的发展,Suzuki-Miyaura 反应已经拥有一个非常庞大的商品化单体库,其中包括数千种的含有各种官能团的硼酸及硼酸酯单体。另外,研究人员也开发出了大量用于合成Suzuki-Miyaura 反应单体的反应,如Miyaura-Ishiyama硼基化反应等。
近日,袭锴课题组首次报道了一种高效的基于Suzuki-Miyaura反应的COFs后合成修饰策略(图一)。通过使用含有不同官能团(包括甲硫基,醛基,甲酯基,氰基和三氟甲基)的硼酸单体,作者成功制备了一系列高结晶、大比表面积的功能化COFs材料。另外,作者还研究发现,相较于未修饰的COFs,三氟甲基功能化COFs对六氟化硫(SF6)气体的吸附和分离能力都有显著的提高。

图一 基于Suzuki-Miyaura反应的COFs后合成修饰策略
作者首先基于2, 5-二溴对苯二醛(DBTA)单体合成了两种含溴COFs材料(BrCOF-1和BrCOF-2)。这两种含溴COFs材料不仅具有高结晶度和较大的比表面积(1744 m2 g-1 和 1602 m2 g-1),而且其孔道内均匀排列着丰富的溴原子,为Suzuki-Miyaura反应提供了大量的修饰位点。此外,这两种含溴COFs均有着较大的孔径(2.5 nm),足以容纳体积较大的四(三苯基膦)钯催化剂(1.3 nm×1.3 nm×1.1 nm),有利于催化剂扩散进入孔道内部进行修饰。
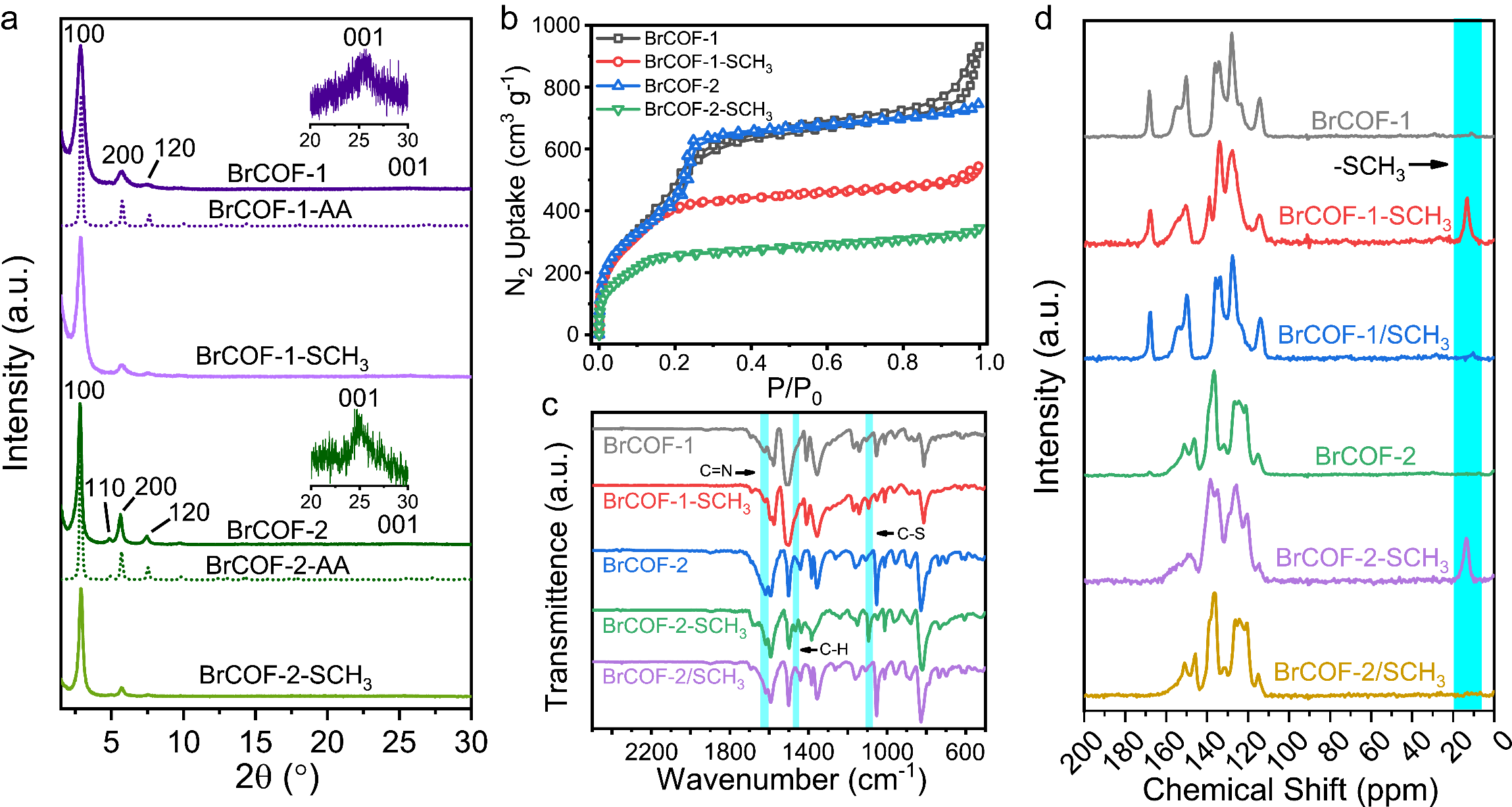
接着作者使用4-(甲硫基)苯硼酸分子通过Suzuki-Miyaura反应对这两种含溴COFs材料进行后合成修饰(图二)。PXRD结果显示,修饰后COFs材料的结晶度均得到了很好的保持。另外,氮气吸脱附实验表明这两种功能化COFs材料拥有较大的比表面积(>1000 m2 g-1)。FT-IR和13C CP-MAS NMR谱图表明甲硫基官能团成功修饰到含溴COFs中。通过元素分析测试,作者估算得到BrCOF-1和BrCOF-2的甲硫基修饰率为47%和59%。

图二 BrCOFs以及使用Suzuki-Miyaura反应修饰的BrCOF-1-SCH3和BrCOF-2-SCH3的表征:a) 实验及模拟的PXRD谱图;b) 77 K氮气吸脱附等温线;c) FT-IR谱图;d) 13C CP-MAS NMR谱图
为了进一步验证这种方法的普适性,作者使用一系列的苯硼酸分子对BrCOF-2进行修饰,成功得到了醛基、甲酯基、氰基和三氟甲基修饰的COFs材料(图三)。同样的,PXRD和氮气吸脱附测试表明这一系列功能化COFs材料的结晶度和比表面积均得到了较好的保留,而FT-IR测试则证明了这些官能团的成功修饰。元素分析和EDX测试结果表明这些COFs材料均有较高的官能团修饰率(23%-78%)。这一系列官能团的修饰证明了这种方法具有较好的普适性,可广泛应用于各类官能团。

图三 BrCOF-2以及功能化的BrCOF-2-CHO, BrCOF-2-COOCH3, BrCOF-2-CN以及BrCOF-2-CF3的a) 孔道结构;b) PXRD谱图;c) FT-IR谱图
最后,作者研究了三氟甲基修饰的BrCOF-2(BrCOF-2-CF3)对SF6气体的吸附分离能力(图四)。研究发现,相较于未修饰的BrCOF-2,BrCOF-2-CF3对SF6的吸附容量在273 K和298 K下均得到显著提升。另外,BrCOF-2-CF3也具有更强的SF6分离能力——在平衡吸附压力为0.1 bar和1 bar时,其SF6/N2 (10:90)的选择性分别为BrCOF-2的6.8和2.5倍。

图四 BrCOF-2和BrCOF-2-CF3在273 K和298 K,1 bar下的SF6、N2吸脱附曲线
该研究提供了一种高效普适的COFs后合成修饰的方法,为功能化COFs材料的设计制备提供了更多的可能性。相关成果以"A Versatile Protocol for Functionalization of Covalent Organic Frameworks via Suzuki-Miyaura Cross-Coupling"为题发表于Angewandte Chemie International Edition杂志,世界杯投注平台化学化工学院博士研究生廖峭波,硕士研究生柯灿和助理研究员黄新为文章共同第一作者,袭锴副教授为通讯作者。本工作得到了中华人民共和国科学技术部变革性关键科学问题重点专项、深圳市创新科学基金和中央高校业务费的资助。高性能高分子材料与技术教育部重点实验室以及配位国家重点实验室在本研究中给予了支持。
全文链接:https://www.onlinelibrary.wiley.com/doi/10.1002/anie.202012435