研究拓扑材料的新奇物理性质是目前凝聚态物理学的前沿热点,Weyl(外尔)半金属是一类具有代表性的拓扑材料。外尔半金属具有拓扑非平庸的能带结构,能级交叉简并点即外尔点正好位于费米面上。理论研究表明,动量空间中的外尔点具有手性,根据封闭系统中总拓扑荷守恒定律,左手手性的外尔点与右手手性的外尔点总是成对出现。当一对手性相反的外尔点出现能量差时,引入外加磁场将导致外尔点附近产生正比于磁感应强度的拓扑电流,该现象称为手征磁效应。手征磁效应纯粹由拓扑保护引起,与近年来广泛研究的手征反常具有本质的不同,但由于材料制备的困难和表征手段的缺乏,前者至今尚未在实验室直接观测到。
另一方面,量子计算和量子模拟是目前国际竞争的焦点,如何利用可扩展量子比特开展量子计算和量子模拟是谷歌重金悬赏的研究课题。最近,于扬课题组率先通过精确控制超导量子比特对拓扑材料的能带结构和拓扑特性进行模拟,取得了一系列成果,现在又利用超导量子电路首次模拟出外尔半金属能带,并在此基础上演示了外尔半金属中的手征磁效应。
如图1所示,课题组利用超导电路系统作为人工原子与微波场耦合成功模拟出一个描述外尔半金属的两能带模型,将立方晶格的准动量空间精确映射至微波场参数空间,利用超导量子比特的精确调控与测量技术,通过不断调节微波场参数,即振幅、频率、相位,测量相应能谱,模拟出外尔半金属第一布里渊区的能带结构。能带结构如图2所示,在动量空间中可以直接观测到四对手性相反的外尔点。同时,课题组采用动力学响应方案,通过使系统沿预设路径准绝热演化,利用量子态层析技术,直接得到贝里曲率,计算出表征各外尔点拓扑性质的拓扑不变量-卷绕数,如图2所示,实验测量的卷绕数近似为±1,并且手性相反的外尔点卷绕数互为相反数,与理论预言相同。此外,通过调节两能带模型参数,课题组还演示了外尔半金属向狄拉克半金属的拓扑相变,如图2所示,四对外尔点退化为四个狄拉克点。

图1:超导电路系统与微波场耦合模拟外尔半金属哈密顿量

图2:外尔半金属能带结构、外尔点拓扑不变量、拓扑相变
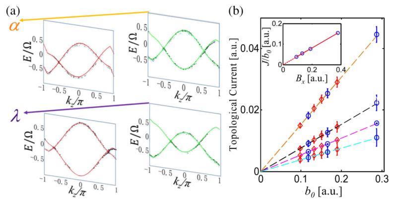
在上述工作的基础上,课题组研究了外尔半金属的手征磁效应。注意到外尔点在动量空间具有不同的位置,引入依赖于准动量的零点能量,即可造成一对手性相反的外尔点出现能量差。同时,因为外尔半金属低能激发即外尔子为相对论性费米子,考虑到正则动量形式,通过 位移即可等效的引入人工规范磁场。综上,通过控制外加泵浦微波场振幅和频率,课题组实现了对外尔半金属的手征磁效应的研究,实验结果如图3、4所示,拓扑电流与外尔点能量差和磁感应强度成正比,与理论预言高度一致,即利用超导量子电路在实验上直接演示了外尔半金属的手征磁效应。

图3:通过微波调控产生人工规范场及手征磁效应的示意图

图4:外尔半金属的手征磁效应拓扑电流
长期以来,外尔半金属的手征磁效应只存在于理论预言中,该成果对凝聚态物理尤其是外尔半金属的研究具有重要意义,同时为利用超导量子电路探索拓扑材料的物理性质提供了成功的范例。
该成果2019年1月8日在物理学顶级杂志Physical Review Letters在线发表。第一作者是物理学院谭新生研究员。该模拟的方案和理论主要由香港大学汪子丹教授和世界杯投注平台赵宇心教授完成。该研究得到国家重点研发计划、自然科学基金委、及香港研究资助局基金支持。
(物理学院 科学技术处)