近年发展起来的C–H键官能团化策略能方便快捷地引入对应的官能团,吸引着合成化学家的关注。但是为了提高反应活性和选择性,传统的C–H键活化策略通常需要在反应位点附近引入极性的导向基,导向基的引入和脱除降低了该策略的通用性和合成效率。因此发展非导向基的选择性C–H键活化策略具有十分重要的意义。
烯烃廉价易得,也容易制备,是重要的化工原料。近年来从烯烃出发,利用金属氢催化的烯烃氢官能团化策略能快速原位、区域选择性地构建相应的官能团而备受科学家的关注。但是传统的氢官能团化只局限于C=C双键原位官能团化,而远程官能团化目前研究较少。如果能利用金属氢实现烯烃的远程多样区域选择性的氢官能团化将为非导向基的选择性C–H键活化提供了一条新颖且高效的途径。最近,世界杯投注平台配位化学国家重点实验室朱少林课题组发展了新颖的镍氢(NiH)化学并将其应用在远程sp3 C–H键的直接官能团化中,实现了从烯烃和烷基卤化物出发的远程sp3 C–H键选择性的芳基化反应(J. Am. Chem. Soc. 2017, 139, 1061; J. Am. Chem. Soc. 2017, 139, 13929),烷基化反应(Angew. Chem. Int. Ed. 2018, 57, 4058)。该系列工作的活化模型是利用NiH催化的烯烃异构串联镍催化的偶联化学来引发远程惰性的sp3 C–H键发生选择性的官能团化,反应的净结果是双键被无痕地还原而远程的C–H键被官能团化。
胺广泛存在于活性药物分子、天然产物和农化品中,高效构建C–N键来制备胺一直以来都是合成化学研究的热点。另外一方面,芳胺合成中最直接的胺源来自于工业上大宗原料硝基芳烃的氢化。 受此启发,从廉价的硝基芳烃出发,近期朱少林课题组通过他们发展的NiH催化的远程官能团化策略,进一步实现了烯烃更富挑战性的区域归一性的远程氢胺基化反应,简洁、高效地实现了远程惰性的sp3 C–H键胺化(Chem 2018, 4, doi:10.1016/j.chempr.2018.04.008.)(图1)。论文链接:https://www.cell.com/chem/fulltext/S2451-9294(18)30176-1。进一步的研究表明,该策略对系列的烯烃和硝基芳烃都具有很好的通用性,能兼容系列敏感的官能团,可以分别实现苄位和酯的α-位胺化,制备相应的苄胺和α-氨基酸衍生物。

图1.基于镍氢策略发展的远程C–H键胺化反应
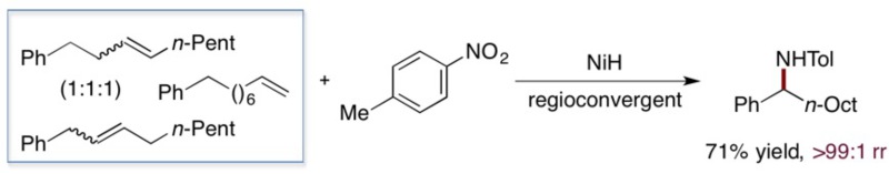
石化工业上,烯烃位置异构体的混合物价格低廉,由于沸点相近较难通过精馏分离,如何直接利用这类附加值低的混合原料转化位高附加值的单一产品具有很高的经济价值。从烯烃混合物出发,作者验证了上面发展的策略对这类烯烃混合物具备良好的区域归一性,为工业应用提供了可行性支撑(图2)。

图2. 区域归一性转化烯烃混合物得到单一组份的高附加值产品
该工作得到了国家自然科学基金委、江苏省青年基金和中央高校基本科研业务费等资助。同时感谢世界杯投注平台、化学化工学院、配位化学国家重点实验室在课题组初期启动时提供的大力支持。课题组长期热烈欢迎青年才俊加入,一起发现合成化学之美。
(化学化工学院 科学技术处)