近期,Scientific Reports杂志在线发表了我校生命科学学院李忠秋副教授与法国国家科学院Courchamp教授、美国加州大学洛杉矶分校Blumstein教授的合作文章“Pigeons home faster through polluted air”(Scientific Reports | 5:18989,http://www.nature.com/articles/srep18989),该研究首次揭示了动物对雾霾污染的行为反馈。
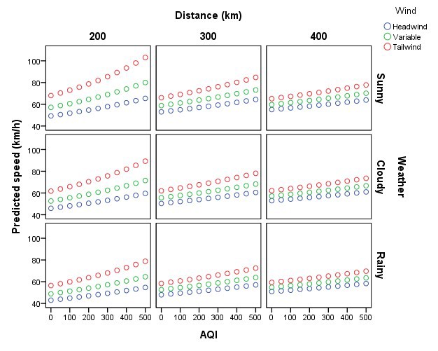
空气污染,尤其是雾霾污染,对人类和其他动物的健康都造成了严重的影响。环境卫生机构建议,在雾霾天气中人们应该减少户外活动以降低对身体健康的损伤。然而,动物在行为上如何应对雾霾污染,人们却知之甚少。该研究收集了我国空气污染最严重的京津冀地区的415场赛鸽数据以及相应的空气、天气等变量,通过多元线性回归建立了空气污染与信鸽飞行的回归模型。通过模型模拟,团队研究人员发现雾霾污染越严重,信鸽飞行越快。在控制了归巢距离、天气、风力风向等因素下,信鸽在空气质量指数AQI=0时飞行时速为55.6km,而当AQI=500时其飞行时速增加22.7%,达到68.2km。
这和团队研究人员的预期恰恰相反,他们认为两个因素可能导致信鸽加快飞行速度:导航机制以及归巢动机。信鸽归巢的导航机制可以认为是两步走,先定向再定位。定向阶段可能主要依靠太阳和地磁,而更为重要的定位阶段则依靠嗅觉和视觉。雾霾污染的主要成分均为化学污染物,这有可能会增加信鸽归巢的化学导航信号。相对于导航机制,团队研究人员认为归巢动机可能是信鸽速度增加的更重要的原因,因为雾霾污染增加了信鸽的捕食及健康风险。这是首次对鸟类应对雾霾污染所作出的行为反馈研究,未来的研究需要验证并确定导致其加快飞行速度的可能机制。
李忠秋副教授为该项研究的第一作者兼通讯作者。该项研究获得世界杯投注平台优秀中青年教师境外研修计划、国家自然科学基金等项目资助。

(生命科学学院 科学技术处)