近日,世界杯投注平台物理学院张海军教授课题组与合作者在声子磁性研究领域取得重要进展。研究团队建立了电声子耦合诱导声子磁矩的第一性原理计算理论,并开发了相应程序,实现了对磁性材料中圆偏振声子的有效磁矩、塞曼劈裂及磁性声子谱的准确计算。进而,基于该方法,研究团队还预言了一类具有本征声子陈态的候选材料。该工作为探索量子材料中的声子磁效应与声子拓扑物态开辟了新路径。
圆偏振声子,又称轴声子(axial phonon),是晶格原子做圆周运动形成的集体激发,携带非零角动量与磁矩,在声子塞曼劈裂、反常声子霍尔效应、爱因斯坦‑德哈斯效应及巴尼特效应等物理过程中扮演关键角色。以往基于经典点电荷模型的理论计算所得声子磁矩远低于实验观测值,差异可达数个数量级。研究表明,电声子耦合是增强声子磁矩的关键机制之一,尤其在磁性金属中,由其贡献的声子塞曼劈裂显著强于经典模型的预测,其背后的潜在物理机制在于电声子耦合将声子角动量转化为电子环形电流。由于电子质量极轻,该电流被大幅放大,从而产生巨大的等效声子磁矩。然而,该领域长期缺乏一套基于第一性原理、且普适用于金属与绝缘体的定量计算方法,严重制约了相关研究的深入发展。
针对这一挑战,研究团队创新性地从声子哈密顿量的时间反演破缺项出发,将声子角动量作为体系微扰,结合线性响应理论,直接计算声子的塞曼劈裂,进而获得有效声子磁矩。该方法具备三大优势:一是基于第一性原理,可对真实材料体系的磁性声子谱与磁矩进行定量计算;二是具有普适性,同时适用于磁性金属与磁性绝缘体;三是可计算全布里渊区内的磁性声子谱。
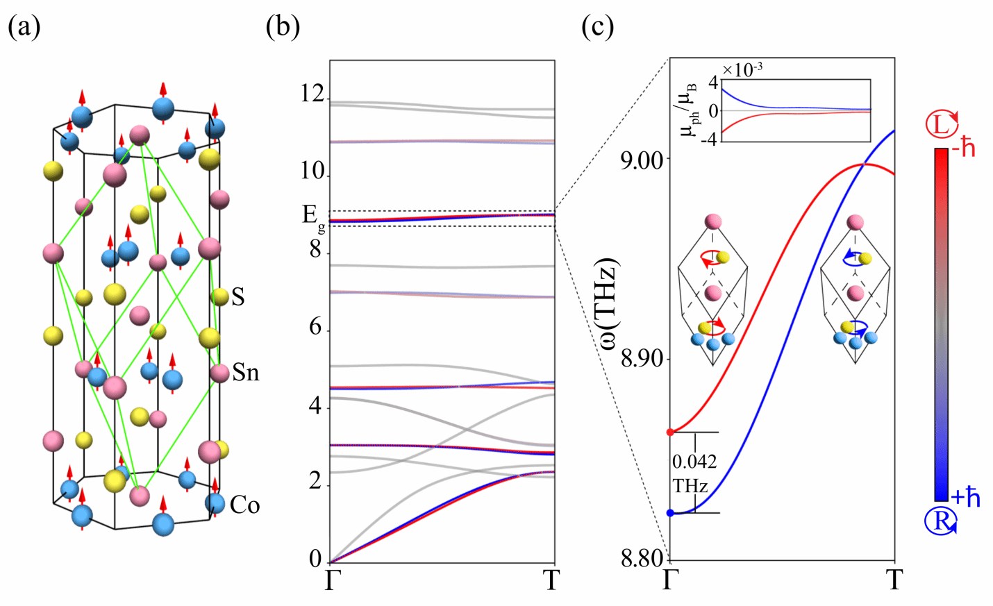
运用该理论计算方法,研究团队首先以铁磁外尔半金属Co₃Sn₂S₂为例,成功定量解释了近期实验在该体系中观测到的声子塞曼劈裂(图1)。理论计算表明其声子谱Γ点Eg模式劈裂为0.042 THz,与实验值0.038 THz高度吻合,有力支持了我们理论的可靠性。此外,该理论方法还为研究磁性声子拓扑提供了新工具。研究团队提出一种“惯性解耦晶格模型”,用于设计实现声子陈态(图2)。基于该设计思路并结合第一性原理计算,我们预言了EuSi₂、GdSi₂等一系列具有本征声子陈态的候选材料。以EuSi₂为例,计算显示其高频声子谱中存在高达0.35 THz的全拓扑能隙,且能隙中具有连接“导带”与“价带”的手性声子边缘态,证实了其非平庸拓扑特性(图3)。
该成果以“Ab Initio Theory of Phonon Magnetic Moment Induced by Electron-Phonon Coupling in Magnetic Materials”为题,于2025年12月16日发表在《物理学评论快报》[Physical Review Letters 135, 256701 (2025)]。世界杯投注平台物理学院博士研究生王福毅为论文第一作者,世界杯投注平台物理学院张海军教授和南京师范大学王怀强副教授为共同通讯作者。世界杯投注平台邢定钰院士、南京师范大学张力发教授及东京大学Shuichi Murakami教授对本研究给予了重要指导。合作者还包括世界杯投注平台博士研究生刘新琦和南京师范大学博士研究生孙鸿。该研究得到国家重点研发计划、国家自然科学基金、江苏省自然科学基金、中央高校基本科研业务费等基金项目的支持,依托世界杯投注平台物理学院、固体微结构物理全国重点实验室、人工微结构科学与技术协同创新中心、江苏省物理科学研究中心、江苏省量子信息科学与技术重点实验室、江苏省声子工程研究中心、南京师范大学量子输运和热能科学中心等平台。
论文链接:https://journals.aps.org/prl/abstract/10.1103/tpjd-dh1m

图1 :Co3Sn2S2的晶格结构和磁声子谱。

图 2 :惯性解耦晶格模型和声子陈态。

图3 : EuSi2晶格结构和磁声子谱及声子陈态。