Recently, Professor Wen Haihu and his team from the School of Physics made new progress in superconductivity and published a research paper titled “Absence of near-ambient superconductivity in LuH2±xNy” on Nature (https://doi.org/10.1038/s41586-023-06162-w).
The abstract of the paper is as following:
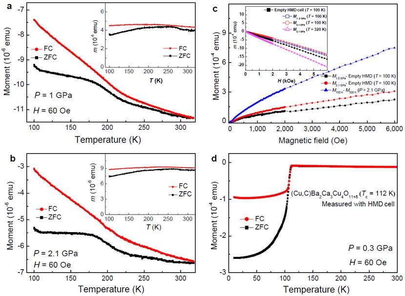
Recently near-ambient superconductivity was claimed in nitrogen-doped lutetium hydride1. This stimulates a worldwide interest about exploring room temperature superconductivity under low pressures. By using a high pressure and high temperature synthesis technique, we have successfully obtained the nitrogen doped lutetium hydride (LuH2±xNy) with a dark-blue color and a structure with the space group of Fm3¯m evidenced by x-ray diffraction. This structure is the same as that reported in ref. 1, with a slight difference in lattice constant. The Raman spectroscopy also shows similar patterns between our samples and that in ref. 1. The energy dispersive X-ray spectroscopy (EDS) confirmed the existence of nitrogen in the samples. At ambient pressure, we witness a metallic behavior from 350 down to 2 K. By applying pressures from 2.1 to 41 GPa, we observe a gradual color change from dark-blue, to violet, to pink-red. By measuring the resistance at pressures from 0.4 to 40.1 GPa, we have seen a progressively improved metallic behavior without showing superconductivity down to 2 K. Temperature dependence of magnetization under high pressures shows a very weak positive signal between 100 and 320 K, and the magnetization increases with magnetic field at 100 K, all these are not expected for superconductivity at 100 K. Thus, we conclude the absence of near-ambient superconductivity in this nitrogen-doped lutetium hydride under pressures below 40.1 GPa.

1. The evolution of the color (a) and resistance temperature curve (b) of lutetium hydrogen nitrogen materials under pressure.

2. Evolution of the magnetic moment of lutetium-hydrogen-nitrogen samples with temperature and magnetic field
Translator: Shao Yihang
Editors: Guo Ankang, Shao Yihang